近日,我院蔡义民、谈重芳教授团队揭示了利用乳酸菌处理猕猴桃可以保持其采后质量并改变表面微生物组,为开发安全高效的保鲜技术提供了新的见解。相关成果以《Treatment of kiwifruit with Lactiplantibacillus pentosus CW5 cell-free supernatant maintains postharvest quality and alters the surface microbiome》为题,发表在国际著名期刊《Postharvest Biology and Technology》(农林科学一区Top期刊,IF=6.4)。
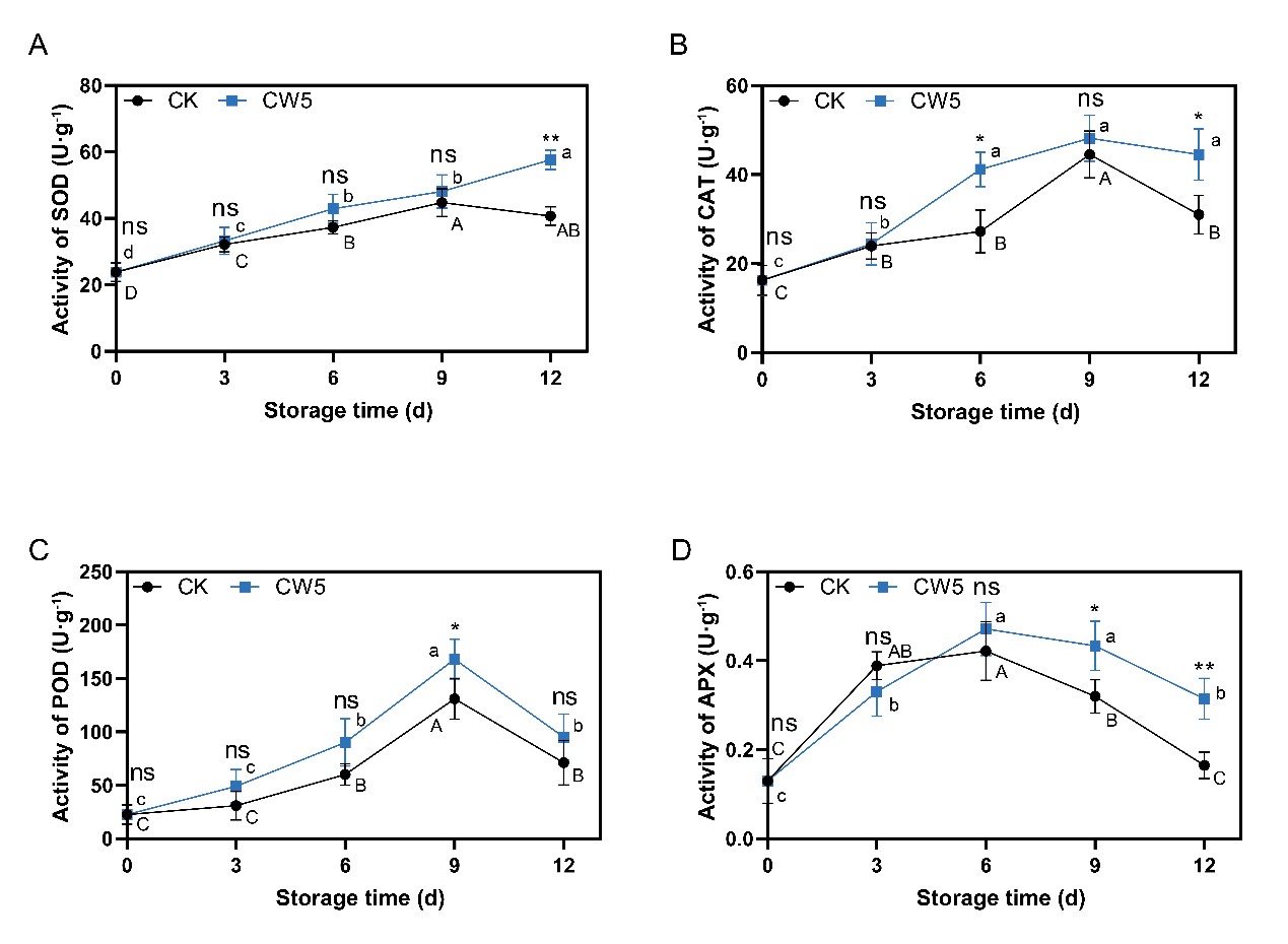
猕猴桃(Actinidia chinensis)营养丰富,风味极佳,深受消费者喜爱。然而,作为一种季节性很强的水果,猕猴桃的组织柔软多汁、含水量高,这也使得其在储存期间容易被病原微生物入侵,导致其软化和腐烂。因此,妥善保持猕猴桃的储存质量具有重要的研究价值和意义。目前,猕猴桃采后保鲜广泛采用物理和化学方法。然而,每种方法都存在一定的局限性,例如高成本和可能存在化学残留物。鉴于乳酸菌在水果保鲜方面表现出显著的功效,本研究通过感官观察、质量指标和抗氧化参数的测量,以及对猕猴桃表面微生物群落变化的细致分析,研究了戊糖乳植杆菌(Lactiplantibacillus pentosus)CW5无细胞上清液(cell-free supernatant)对采后猕猴桃保鲜的影响。结果表明,与对照组相比,CW5无细胞上清液处理显著减轻了猕猴桃软化和腐烂的发生,延缓了可溶性固形物含量的增加,提高了贮藏结束时抗坏血酸的含量,并保持了超氧化物歧化酶(SOD)、过氧化物酶(POD)和抗坏血酸过氧化物酶(APX)等抗氧化酶的活性。此外,CW5无细胞上清液还降低了几种采后病原真菌的相对丰度,表明CW5无细胞上清液对有害菌群丰度的影响可能是其保存潜力的一个因素。该研究表明了戊糖乳植杆菌在猕猴桃采后保鲜中的潜力,为开发安全高效的保鲜技术提供了新的见解。

图1、戊糖乳植杆菌CW5无细胞上清液处理对猕猴桃感官的影响

图2、戊糖乳植杆菌CW5无细胞上清液处理对猕猴桃抗氧化酶活性的影响
郑州大学农学院硕士研究生郝宇轩为该论文第一作者,庞会利副教授为共同第一作者,蔡义民教授和谈重芳教授为本文共同通讯作者。郑州大学为第一完成单位。该研究得到了青海省科技计划乡村振兴技术示范县专项(2024-NK-X03)等项目资助。
原文链接:https://doi.org/10.1016/j.postharvbio.2025.113478